
A termék bemutatása
| Dekanoil/oktanoil-gliceridek Alapvető információk |
| Leírás Források |
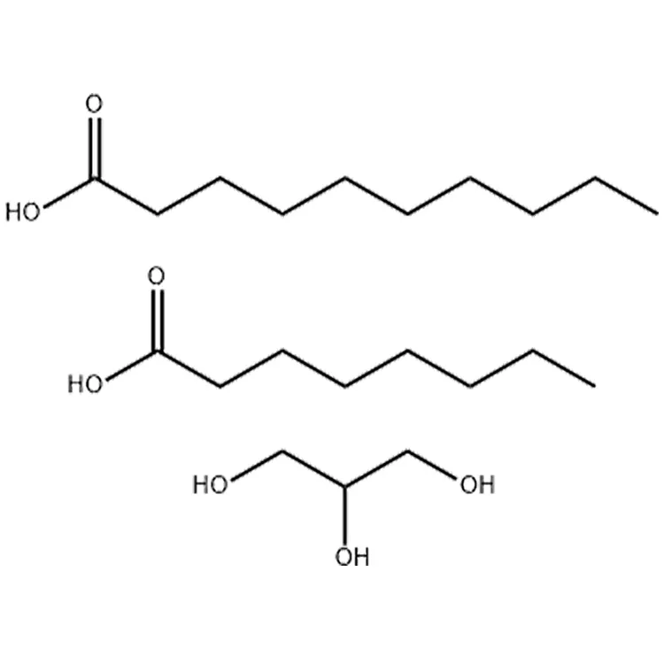
| Termék név: | Dekanoil/oktanoil-gliceridek |
| Szinonimák: | Kapril/kapril triglicerid, CoMMiphora Mukul gyanta kivonat; 2-hidroxi-3-(oktanoiloxi)propil-dekanoát; 1-hidroxi-3-(oktanoiloxi)propán-2-il-dekanoát; triglicerid ,Hidrogénezett retinol;Közepes láncú trigliceridek (MCT);Dekánsav-észter 1,2,3-propántriol-oktanoáttal;dekanoil-oktanoil-gliceridek;Oktán-dekánsav-trigliceridek |
| CAS: | 65381-09-1 |
| MF: | C21H44O7 |
| MW: | 408.58 |
| EINECS: | 265-724-3 |
| Termék kategóriák: | élelmiszer-adalékanyag/kozmetikumok;65381-09-1 |
| Mol fájl: | 65381-09-1.mol |
![]() |
|
| Dekanoil/oktanoil-gliceridek Kémiai tulajdonságok |
| sűrűség | 0.94-0.96 |
| LogP | 3,965 (becs.) |
| EPA Anyagnyilvántartó rendszer | Glicerol-oktanoát-dekanoát (65381-09-1) |
| Biztonsági információk |
| MSDS információ |
| Dekanoil/oktanoil-gliceridek Használat és szintézis |
| Leírás | A dekanoil/oktanoil-glicerid hasznos kozmetikai szer, mint bőrpuhító, maszkoló, illatosító, bőrkondicionáló és oldószer. Teljesen telített bőrpuhító triészterként ásványi vagy növényi olajok alternatívájaként ajánlott a testápolási és gyógyszerészeti alkalmazások széles skálájában. Teljesen telített trigliceridként könnyű bőrpuhító, jó kenőképességgel. Ezenkívül kiváló oldószer a kémiai fényvédőkhöz és nedvesítőszer a fizikai fényvédőkhöz1-4. |
| Források |
http://www.thegoodscentscompany.com/data/rw1306031.html https://books.google.com/books?id{0}}pKrBNbkE2c0C&pg=PA340&lpg=PA340&dq=65381-09-1&source=bl&ots{{9 }}FjOJzUjeH&sig=xXGZ85qWsuCTz2KUn-W_-3fe5vE&hl=zh-CN&sa=X&ved=2ahUKEwiPtseh_-HcAhUKEwiPtseh_-HcAhBAHBATAoa http://www.perflavory.com/docs/doc1306031.html https://www.ingredientstodiefor.com/files/CCT%20MSDS.pdf |
| Felhasználások | A dekanoil/oktanoil-glicerideket széles körben használják fényvédő olajokban, krémekben és testápolókban; napozás utáni védő krém és lotion; hajmódosító olajban, krémben és fejolajban használják, amelyek fényessé, simává és könnyen fésülhetővé tehetik a hajat; fürdőolaj; bőrápoló olaj és tápoldat. A bőrt síkosítóvá, fényessé varázsolja, a tápanyag pedig könnyen felszívódik a bőrbe, ami nagyon jó szerepet játszik az egységes és finom kozmetikumokban. |
| Dekanoil/oktanoil-gliceridek Készítménytermékek és Nyersanyagok |
| Nyersanyagok | Octanoic acid-->Dekánsav |
Népszerű tags: dekanoil/oktanoil-gliceridek, kínai dekanoil/oktanoil-gliceridek gyártói, beszállítói, gyárai
Akár ez is tetszhet
A szálláslekérdezés elküldése








